鑄鐵平臺測工件尺寸示意圖及形位誤差
鑄鐵平臺測工件尺寸和形位誤差,鑄鐵平板,檢測平板

圖7一35所示零件,要求測量尺寸L首先確定輔助j基準面A,再用指示器測量。量時分別研合量塊組尺寸L與(L+I),把量
塊組和被測件一起放在鑄鐵平臺上,用杠打式指示器在I和II位置測出(L+D)值,在和位置測出值,最后得出的實際值。

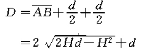
圖7一36為在檢驗平板上用鋼球法測量孔徑D。四個鋼球直徑是相等的,三個鋼球均勻地放在被測孔內,第四個鋼球放在二個鋼球的上方中心,用手輕壓并轉動上面的鋼球,使各球均勻接觸和穩定,按圖示方法泖出尺寸H。
四個鋼球直徑等于則被測孔徑D:

圖7一37為指示器法測量面對面平行度,檢驗平板工作面既是模擬基準又是測量基準,指示器在平板工作面上移動時,其測頭所
形成的軌跡就是平行于模擬基準的被測面的理想平而,指示器示值的最大變動量即為平行度誤差。

圖7一38所示是用指示器測量軸線對基準平面的平行度誤差的方法,基準平面由檢測平板體現,被測軸線山心軸體現,則平行度誤差可由指示器讀數AI、和尺寸L、I求得,即.

圖7一39要求被測孔的軸線位于距離為公差值',且垂直于基準 軸線的兩平行平面內。測量時,基準軸線和被測軸線都用心軸模 擬。用固定和可調支承調整基準軸線與鑄鐵平板垂直。在心軸L2兩端測量,得數值M1,M2,則垂直度誤差為:

圖7一40為測量零件孔對孔同軸度的例于。被測孔和基準孔都 用心軸模擬。測量時,先調整基準軸線與鑄鐵平板平行,然后在被測孔 兩端A、B進行測量,求出該兩點分別與高度(L+d2/2)的差值fAx和fBx再將零件翻轉90度,取其中較大值為該零件的同軸度誤差。

圖7一41為測量零件中心平面對基準中心平面的對稱度℃測量 方法是:
1 將基準表面一側放在平板上,測出a,b點與平板之間的距離;
2將零件翻轉180度后,測量另一被測表面上a',b'點與平板 之間的距離;
3 比較a點與a'點的高度差,b點與b'點的高度差,取其中較 大的差值為該零件的對稱度誤差。






